关于开展全市AAAA级及AAAAA级社区养老服务设施复评工作的通知
| 索 引 号 | 010886343/2022-47726 | 发布日期 | 2022-06-16 |
|---|---|---|---|
| 发布机构 | C7娱乐下载-C7娱乐平台 | 公开范围 | 面向社会 |
| 公开方式 | 主动公开 | 文 号 | 无 |
| 主题分类 | 其他 | 有 效 性 | 有效 |
各区民政局、各功能区社会事务局(城乡工作局):
根据《武汉市社区养老服务设施等级划分及评定》 (DB4201/T631-2020),C7娱乐下载-C7娱乐平台 组织对初评结果为AAAA级 和AAAAA级的社区养老服务设施进行复评。现就开展复评工作相关事宜通知如下:
一、成立工作领导小组
为稳妥高效开展社区养老服务设施复评工作,经研究决定成 立市级社区养老服务设施等级评定复评工作领导小组(以下简称 复评领导小组),组长由C7娱乐下载-C7娱乐平台 党组成员、副局长张明武担任, 副组长由C7娱乐下载-C7娱乐平台 养老服务处处长何小平、市养老事业发展促进中心主任曾进担任。
复评工作领导小组下设6个工作组,由C7娱乐下载-C7娱乐平台 养老服务处、 市养老事业发展促进中心及部分区民政部门工作人员组成,每组2人,负责复评工作的具体实施,通过分片区实地查看设施运营状况、设施设备、服务人次和服务满意度等进行综合评分。分组如下:
组别 | 组成人员 | 复评区域 |
1 | 何小平 张见平15926484726 | 蔡甸、江夏、经开、高新、黄陂 |
2 | 曾进 张皓15607135571 | 江岸、江汉、硚口 |
3 | 陈岚 陈晓筠15871778857 | 新洲 |
4 | 孙洁 段然13018080001 | 汉阳 |
5 | 毛仁红13163215302 方水蓉13667187367 | 汉阳、洪山 |
6 | 让剑颖18872672691 吴晖13995524816 | 武昌、青山 |
二、 复评范围及时间安排
( 一 )复评范围
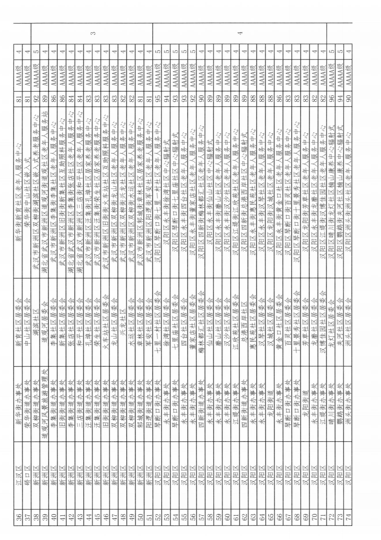
全市经第三方机构初评为AAAA级及AAAAA级的社区养老服务设施(具体名单见附件)。
(二)培训动员。6月中旬,复评领导小组将组织工作组开展业务培训,明确复评工作流程和要求,划分复评时间节点。
(三)实地复评。 各工作组根据时间节点要求,对所负责社 区养老服务设施开展实地复评并每日通报工作进度,预计6月底全面完成复评。
三、 工作要求
(一)切实组织领导。
各区民政部门要高度重视,督促指导 初评为AAAA级及AAAAA级的社区养老服务设施运营方整理 工作台账、调试设施设备,配合做好等级评定复评工作,加快推进社区养老服务标准化、规范化建设。
(二)严明工作纪律。
各工作组要严肃复评工作纪律,在评定过程中不得参与其他与复评无关的活动,坚决杜绝打“人情分”、 随意降低评定标准的现象,严格按照评定流程做好“全过程记录”,做到公平、公正、客观、真实。
(三)强化结果运用。
社区养老服务设施的等级评定结果, 将作为运营补贴差异化发放的重要依据。各区民政部门要坚持以 评促改、以评促建、以优带全,切实把等级评定作为提升养老服 务质量的重要抓手,进一步发挥优秀社区养老服务设施示范带动作用。
附件:
社区养老服务设施复评名单
C7娱乐下载-C7娱乐平台
2022年6月15日



附件:
扫一扫在手机上查看当前页面



鄂公网安备 42010202000854号